一、选择题
1) 在CPU中,用 ( ) 给出将要执行的下一条指令在内存中的地址。
查看答案
2) 以下关于RISC和CISC计算机的叙述中,正确的是 ( ) 。
查看答案
3) 采用DMA方式传送数据时,每传送一个数据都需要占用一个 ( ) 。
查看答案
4) 以下关于闪存(Flash Memory)的叙述中,错误的是 ( ) 。
查看答案
5) 若磁盘的转速提高一倍,则 ( ) 。
查看答案
6) 异常是指令执行过程中在处理器内部发生的特殊事件,中断是来自处理器外部的请求事件。以下关于中断和异常的叙述中,正确的是 ( ) 。
查看答案
7) 下列协议中,属于安全远程登录协议的是 ( ) 。
查看答案
8) 下列攻击类型中, ( ) 是以被攻击对象不能继续提供服务为首要目标。
查看答案
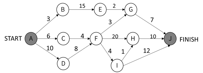
9) 下列算法中属于非对称加密算法的是 ( ) 。
查看答案
10) SQL是一种数据库结构化查询语言,SQL注入攻击的首要目标是 ( ) 。
查看答案
11) 通常使用 ( ) 为IP数据报文进行加密。
查看答案
12) 根据《计算机软件保护条例》的规定,对软件著作权的保护不包括 ( ) 。
查看答案
13) 甲、乙两互联网公司于2020年7月7日就各自开发库存管理软件分别申请“宏达”和“鸿达”商标注册,两个库存管理软件相似,甲第一次使用时间为2019年7月,乙第一次使用时间为2019年5月,此情景下, ( ) 能获准注册。
查看答案
14) A经销售擅自复制并销售B公司开发的OA软件光盘已构成侵权,C企业在未知情形下从A处购入100张并已安装使用,在C企业知道了所使用的软件为侵权复制的情形下,以下说法正确的是 ( ) 。
查看答案
15) 下列关于结构化分析方法的数据字典加工逻辑的叙述中,不正确的是 ( ) 。
查看答案
16) 在软件设计阶段进行模块划分时,一个模块的 ( ) 。
查看答案
17) 下面是一个软件项目活动图,其中顶点表示项目里程碑,连接顶点的边表示包含的活动,边上的权重表示活动的持续时间(天),则关键路径长度为 ( )。
查看答案
18) 下面是一个软件项目活动图,其中顶点表示项目里程碑,连接顶点的边表示包含的活动,边上的权重表示活动的持续时间(天),在该活动图中,活动 ( ) 晚16天开始不会影响上班。

查看答案
19) 下列关于风险的叙述中,不正确的是 ( ) 。
查看答案
20) 算术表达式 a*(b+c/d)-e 的后缀式为 ( ) 。
查看答案
21) 以编译方式翻译C/C++源程序的过程中,类型检查在 ( ) 阶段处理。
查看答案
22) Java语言符合的特征有 ( ) 和自动的垃圾回收处理。
①采用即时编译
②采用静态优化编译
③对象在堆空间分配
④对象在栈空间分配
查看答案
23) 云计算有多种部署模型(Deployment Models)。若云的基础设施是为某个客户单独使用而构建的,那么该部署模型属于 ( ) 。
查看答案
24) 若计算机系统的字长为128位,磁盘的容量为2048GB,物理块的大小为8MB,假设文件管理系统采用位示图(bitmap)法记录该计算机系统磁盘的使用情况,那么位示图的大小需要 ( ) 个字。
查看答案
25) 进程P有5个页面,页号为0-4,页面变换表及状态位、访问位和修改位的含义如下图所示,若系统给进程P分配了3个存储块,当访问的页面3不在内存时,应该淘汰表中页号为 ( ) 的页面。
查看答案
26) 模块A通过非正常入口转入模块B内部,则这两个模块之间是 ( ) 耦合。
查看答案
27) 软件详细设计阶段的主要任务不包括 ( ) 。
查看答案
28) 以下关于文档的叙述中,不正确的是 ( ) 。
查看答案
29) 用白盒测试技术对下面流程图进行测试,至少采用 ( ) 个测试用力才可以实现路径覆盖。

查看答案
30) 软件可维护性是一个系统在特定的时间间隔内可以正常进行维护活动的概率。用MTTF和MTTR分别表示平均无故障时间和平均故障修复时间,则软件可维护性计算公式为 ( ) 。
查看答案
31) 某搜索引擎在交付后,开发人员修改了其中的索引方法,使得用户可以更快地得到搜索结果。这种修改属于 ( ) 维护。
查看答案
32) 面向对象分析时,执行的活动顺序通常是 ( ) 。
查看答案
33) 采用面向对象方法进行系统设计时,不应该强迫客户依赖于他们不用的方法,接口属于客户,不属于它所在的类的层次结构。即:依赖于抽象,不要依赖于具体,同时在抽象级别不应该有对于细节的依赖。这属于 ( ) 。
查看答案
34) 假设Bird和Cat是Animal的子类,Parrot是Bird的子类,bird是Bird的一个对象,cat是Cat的一个对象,parrot是Parrot的一个对象。以下叙述中不正确的是 ( ) 。

查看答案
35) 假设Animal类中定义接口move(),Bird、Cat和Parrot分别实现自己的move(),调用move()时,不同对象收到同一消息可以产生各自不同的结果,这一现象称为 ( ) 。

查看答案
36) 设有描述简单算术表达式的上下文无关文法如下,其中id表示单字母。
E→E+T | T
T→F*T | F
F→ id
与使用该文法描述的表达式a+b*c*d相符的语法树为 ( ) 。
查看答案
37) 下图所示有限自动机(DFA)是 ( ) 。

查看答案
38) 函数foo()、hoo()定义如下,调用函数hoo(a, x)的两个参数分别采用引用调用(call by reference)和值调用(call by value)方式传递,则函数调用foo(5)的输出结果为 ( ) 。
foo(int x) {
int a=2;
hoo(a, x);
print(a, x);
}
hoo(int &x, int y) {
y = y+10;
x = y-x;
return;
}
查看答案
39) 如下E-R图中,两个实体R1、R2之间有一个联系E,当E的类型为 ( ) 时必须将E转换成一个独立的关系模式?

查看答案
40) 给定关系R(U, F), 其中
U={A, B, C, D, E, H}, F={A→B, B→DH, A→H, C→E},
关系有 ( ) 。
查看答案
41) 给定关系R(U, F), 其中
U={A, B, C, D, E, H}, F={A→B, B→DH, A→H, C→E},
F中 ( ) 。
查看答案
42) 设有栈S和队列Q初始状态为空,数据元素序列a, b, c, d, e, f依次通过栈S,且多个元素从S出栈后立即进入队列Q,若出队的序列是b, d, f, e, c, a, 则S中的元素最多时,栈底到栈顶的元素依次为 ( ) 。
查看答案
43) 当二叉树的结点数目确定时, ( ) 是的高度一定是最小的。
查看答案
44) ( ) 是对稀疏矩阵进行压缩存储的方式。
查看答案
45) 设用线性探查法解决冲突构造哈希表,且哈希函数为H(key)=key%m,若在该哈希表中查找某关键字e是成功的且与多个关键字进行了比较,则 ( ) 。
查看答案
46) 对于一个初始无序的关键字序列,在下面的排序方法中, ( ) 第一趟排序结束后,一定能将序列中的某个元素在最终有序序列中的位置确定下来。
①直接插入排序
②冒泡排序
③简单选择排序
④堆排序
⑤快速排序
⑥归并排序
查看答案
47) 对数组A=(2, 8, 7, 1, 3, 5, 6, 4)构建大顶堆为 ( ) 。(用数组表示)
查看答案
48) 最大尺寸和问题描述为,在n个整数(包含负数)的数组A中,求之和最大的非空连续子数组,如数组A=(2, 11, 4, 13, 5, 2),其中子数组B=(11, 4, 13)具有最大子段和20(114+13=20)。求解该问题,可以将数组分为两个n/2个整数的子数组最大子段或或者在前半段,或者在后半段,或者跨越中间元素,通过该方法继续划分问题,直至最后求出最大子段和,该算法的时间复杂度为 ( ) 。
查看答案
49) 在求解某问题时,经过分析发现该问题具有最优子结构和重叠子问题性质。则适合 ( ) 算法设计策略得到最优解。
查看答案
50) 在求解某问题时,经过分析发现该问题具有最优子结构和重叠子问题性质。若了解问题的解空间,并以广度优先的方式搜索解空间,则采用的是 ( ) 算法策略。
查看答案
51) IPv6地址长度为 ( ) bit。
查看答案
52) 在地址栏输入www.abc.com,浏览器默认的应用层协议是 ( ) 。
查看答案
53) 使用电子邮件客户端向服务器发送邮件的协议是 ( ) 。
查看答案
54) 以下Windows系统中用于清除本地DNS缓存的命令是 ( ) 。
查看答案
55) 在网络系统设计时,不可能使所有设计目标都能达到最优,下列措施中最为合理的是 ( ) 。
查看答案